小分子果胶原粉MCP
联系我们

- 胃肠道原粉
胃肠道解酒MCP原粉
小分子柑橘果胶,又称改性柑橘果胶(Modified Citrus Pectin,简称MCP)或低分子柑橘果胶(Low Molecular Citrus Pectin,简称LCP)是从柑橘属(柠檬、橙子、柑橘、柚子等)皮和囊衣中利用高科技生物酶解技术提取的富含半乳糖的小分子水溶性纤维多糖。
浙江果源康品生物科技有限公司与浙江大学、天津大学、复旦大学、新乡医学院等单位合作开展MCP生产工艺与功能试验的研究,已获得多项国家发明专利。试验证明,不同分子量与酯化度的MCP具有排除重金属、调理肠胃倒等功能。目前公司是亚洲唯一,全球仅有两家的MCP生产商之一。
MCP作为一种具有特殊功效的膳食纤维,可广泛用作功能性食品、保健品和特医配料。一、品名:
中文:小分子柑橘果胶。
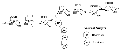
英文名:Modified Citrus Pectin,简称MCP二、化学结构:

三、主要技术指标:

四、产品执行标准:
1. GB25533-2010 食品添加剂果胶国标
2. QB-GYKP002 果源康品企标
五、MCP 作用机制
1. 双向调节肠胃道,缓解便秘
小分子果胶MCP富含80%以上的水溶性膳食纤维,对于胃肠道健康有良好的双向调节作用,既能对缓解便秘等疾病,又能对拉稀等肠胃问题起作用。
MCP具有强大的持水特性,能够防止大便在肠道内的干结,起到预防便秘的效果;
MCP的凝胶特性使其能够改变体内营养物质的吸收比例,并吸附排除体内的毒素,防止致病因素引起的腹泻,起到预防腹泻的效果;
MCP的成膜特性使其形成一种分子膜分布在胃壁上,防止胃粘膜和肠粘膜遭受损害,防止肠膜炎、胃溃疡等进一步恶化,并促进受损粘膜的恢复;
MCP具有螯合特性,对铅、镉、砷等重金属有良好的螯合作用,可以有效防止这些重金属对机体的损伤,提升机体的免疫力,防止肠胃道因为免疫系统功能的降低而造成腹泻、胀气、便秘等疾病;
MCP的微生物降解特性能促进有益菌的大量繁殖,保持有益菌在肠道内占据优势,降低发生肠胃道疾病的几率。
2. 加速酒精分解,保护肝脏
小分子柑橘果胶具有双重解酒护肝的作用。
一方面,小分子果胶有很好的水溶性,既能够在胃肠道形成一层保护膜,阻止酒精的吸收,保护肠胃道和肝脏;
另一方面,小分子果胶又能激活解酒酶活性,促进已经吸收的酒精分解二氧化碳和水,起到阻止酒精吸收和促进酒精分解的双重解酒功效。
六、MCP的安全性
MCP是世界粮农组织FAQ和世卫组织WHO推荐人体每日摄入量不作限制的安全成分;
— 果源康品选用阿根廷进口柠檬皮,经过漂洗、脱水、祛农残、重金属达标监测等层层把关。
10万级GMP净化车间,用制药的标准做食品,对生产的每一个步骤都有严格的控制。企业通过GMP、ISO9001、ISO22000、Kosher、Halal等权威认证,加工过程中不采用任何非入口的化工原料(色素、调味剂、添加剂等)
使用生物酶解技术提取MCP,专利保证,国际领先水平
- 上一个:暂无 下一个:小分子果胶原粉返回产品列表

