小分子果胶原粉MCP
联系我们

- 小分子果胶原粉
小分子柑橘果胶,又称改性柑橘果胶(Modified Citrus Pectin,简称MCP)或低分子柑橘果胶(Low Molecular Citrus Pectin,简称LCP)是从柑橘属(柠檬、橙子、柑橘、柚子等)皮和囊衣中利用高科技生物酶解技术提取的富含半乳糖的小分子水溶性纤维多糖。
浙江果源康品生物科技有限公司与浙江大学、天津大学、复旦大学、新乡医学院等单位合作开展MCP生产工艺与功能试验的研究,已获得多项国家发明专利。试验证明,不同分子量与酯化度的MCP具有提高人体免疫力、抑制肿瘤细胞活性、排除重金属、缓解便秘等功能。目前公司是亚洲唯一,全球仅有两家的MCP生产商之一。
MCP作为一种具有特殊功效的膳食纤维,可广泛用作功能性食品、保健品和特医配料。一、品名:
中文:小分子柑橘果胶。
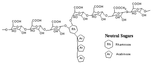
英文名:Modified Citrus Pectin,简称MCP二、化学结构:

三、主要技术指标:

四、产品执行标准:
1. GB25533-2010 食品添加剂果胶国标
2. QB-GYKP002 果源康品企标
五、MCP抗肿瘤作用机制
1. 螯合Galectin-3,减少肿瘤细胞转移风险
半乳糖凝集素-3(Galectin-3)广泛分布于正常细胞及肿瘤细胞,参与调节细胞生长与分化,与肿瘤的形成、发展与转移的全过程密切相关。小分子果胶MCP可以作为体内半乳糖凝集素-3的配体和竞争性抑制剂,封闭肿瘤细胞表面的Galectin-3位点,阻止肿瘤细胞的形成与发展。
MCP能通过封闭肿瘤癌细胞位点,阻止肿瘤细胞的养分吸收,抑制肿瘤细胞的聚集和对正常细胞的粘附,降低肿瘤细胞的活性,从而阻止肿瘤细胞的形成、发展和转移。
2. 激活免疫细胞
MCP具有提高人体免疫力,调节免疫紊乱的功能。MCP的分子量非常小,可以直接被吸收至血液而起作用。它可以激活免疫系统中的白细胞,NK细胞和吞噬细胞等八大免疫细胞,提高机体免疫力。3. 排除有毒重金属
化疗放疗会造成体内重金属的残留,这些重金属会严重损伤机体,造成乏力、呕吐等副作用。MCP能选择性的结合血液中铂、铅、汞、铬、砷等重金属,促其排出体外,但同时完全不影响铁、钙等人体必须微量元素,安全无副作用。4. MCP可提高化、放疗疗效,解毒增敏,减少副作用
癌症患者在手术后一般要接受化疗或放疗,目的是杀死遗留的癌细胞以防止转移,但化疗﹑放疗均有很大的副作用,表现为:肠胃不适﹑睡眠不好﹑无力﹑排泄困难﹑易吐﹑脱发﹑白细胞降低﹑免疫力降低﹑精神不好等。
研究人员在小鼠和人体试验中发现,MCP结合常用化疗药(如PAC-1.环磷酰安、阿霉素、紫杉醇、5Fu等)一同使用,能显著增加癌细胞的凋亡比例。另一方面,MCP在减少放、化疗引起的副作用(例如 改善肠胃及排泄功能、减少呕吐、提升睡眠质量、增强免疫力等),提高患者生活品质方面具有明显功效和病人体验。
研究人员还发现MCP 在降低某些化疗药(如奥沙利铂、顺铂)引发的神经毒性方面具有一定功效,这种功效也与MCP对重金属的螯合能力有关。5. 超高膳食纤维 缓解便秘
MCP富含80%以上的膳食纤维,能促进肠胃道的蠕动,缓解便秘等胃肠道疾病,同时改善食欲。
六、MCP的安全性
MCP是世界粮农组织FAQ和世卫组织WHO推荐人体每日摄入量不作限制的安全成分;— 果源康品选用阿根廷进口柠檬皮,经过漂洗、脱水、祛农残、重金属达标监测等层层把关。
10万级GMP净化车间,用制药的标准做食品,对生产的每一个步骤都有严格的控制。企业通过GMP、ISO9001、ISO22000、Kosher、Halal等权威认证,加工过程中不采用任何非入口的化工原料(色素、调味剂、添加剂等)
使用生物酶解技术提取MCP,专利保证,国际领先水平
七、国内外研究进展
多国知名科学家和高等院校、研究所都对于MCP开展了研究。 美国从九十年代末开始进行MCP相关研究。美国癌症协会组织筛选了2万多种动植物,选定MCP作为最有可能用于临床抑制肿瘤转移的备选药,据美国国家癌症研究所统计,长期服用MCP可大大降低患癌风险(见附件文献)。
国内从2006年开始有多家高校开展小分子果胶的研究,包括浙江大学、复旦大学、广州医学院、天津大学、新乡医学院等机构。果源康品从2012年开始与浙江大学肿瘤研究所合作开展MCP抑制小鼠三阴性乳腺癌,及联合5-Fu解毒增敏抑制肿瘤作用的试验(见附件);2013年与复旦大学附属上海第五人民医院开展MCP联合紫杉醇、5-Fu、顺铂解毒增敏研究(见附件)。上述试验均取得满意结果。
八、MCP对哪些肿瘤有效
MCP对所有表面具有半乳糖凝集素-3的肿瘤都有作用,且其有效率与此细胞的表达成正比。根据美国专利报道,MCP对以下常见的19种肿瘤都有作用,包括:前列腺癌、肾癌、卡波济氏肉瘤、慢性白血病、乳腺癌、肉瘤、卵巢癌、结直肠癌、咽喉癌、淋巴瘤、黑色素瘤、小肠肿瘤、膀胱肿瘤、肺癌、支气管癌、咽部鳞状细胞癌、胃癌、皮肤癌、肝癌、胶质纤维瘤、甲状腺癌、骨髓癌
九、建议每日服用量:15g/日。
附表:国内外关于MCP有效率的评价
- 上一个:胃肠道原粉 下一个:柏斯通返回产品列表

