- 果胶的抗肿瘤活性研究进展
- 发布时间: 2019-05-14 点击次数:5538
- 果胶的抗肿瘤活性研究进展李英华 1 ,朱 威 1,2**(1. 复旦大学上海市第五人民医院 上海 200240;浙江大学工业技术研究院 杭州 310029)摘 要:本文通过查阅近年来果胶抗肿瘤活性研究的相关文献,对近年来果胶改善肿瘤效果以及果胶和部分抗肿瘤药物之间的相互作用进行总结,并分析果胶与体内半乳糖凝集素-3 在抗肿瘤中的作用,对果胶抗肿瘤机制进行探讨。同时指出果胶抗肿瘤研究的发展趋势,为果胶的抗肿瘤研究提供参考依据。关键词:果胶 抗肿瘤 活性研究 综述doi: 10.11842/wst.2014.02.042 中图分类号:R285.5 文献标识码:A果胶来源于植物界的一种富含半乳糖醛酸的 酸性杂多糖,为植物细胞壁的结构成分,被 FAO/WHO 食品添加剂联合委员会推荐为食品添加剂[1]。由于 果胶具有卓越的凝胶性和乳化稳定性而使其成为 食品工业中一种重要的添加剂,在食品工业中可用 作增稠剂、胶凝剂等。在制药工业中可单独或与其他赋形剂合用配制软膏、膜剂、栓剂、微囊等药物制剂[2]。药理学研究表明果胶作为可溶性膳食纤维具有抗腹泻、抗癌、治疗糖尿病等功效[3~5],越来越多的学者将目标转向研究果胶的抗肿瘤效果,发现低分子果胶可作为体内半乳糖凝集素-3(Galectin-3)配体的竞争性抑制剂,阻止肿瘤的形成与发展[6~8]。通过大量查阅国内外文献和专利查阅的基础上,笔者对果胶抗肿瘤的研究概况进行综述。1 文献与专利的分布情况通过对 Google、Sciencedirect、维普数据库、中国 知网数据库及中国知识产权局等常用专业数据库及网站进行果胶与抗肿瘤关键词的搜索。在维普与中国知网上搜索到关于果胶抗肿瘤的相关文献13篇,其中 3 篇期刊论文,10 篇学位论文。中国知识产 权局搜到的关于抗肿瘤果胶相关专利 5 项。国内关于果胶抗肿瘤的研究课题组主要集中于广州医学院、东北师范大学、天津大学、西北大学、第四军医大学、浙江大学及浙江省农科院等[9~11]。我国关于果胶抗肿瘤的研究始于 2005 年,主要集中于柑橘低分子 果胶和人参 果胶对肿 瘤的作用方 面。在 Sci-encedirect 上搜到关于果胶抗肿瘤相关论文 103 篇,Google 上搜到相关论文、专利以及书目共 16 500 余条。国外关于抗肿瘤的研究课题组主要集中于美国和日本,美国于 1993 年就有关于低分子果胶抗肿瘤的专利,近 20 年来国外关于果胶抗肿瘤的研究取得了飞速进步,已有大型制药企业将果胶应用于制备靶向抗肿瘤药物方面,其中果胶阿霉素已进入临床前阶段[12~15]。2 果胶来源果胶物质以原果胶、果胶、果胶酸的形态广布 于植物界,高等植物与低等植物中皆含有,主要存在于相邻细胞壁的中间层,起着连接细胞和天然屏障的作用。相比之下,在根、茎、叶、果实等器官中,以果实中果胶的含量最高,如山楂、苹果、柑桔等果实中含量颇丰[2]此外,胡萝卜的肉质根、向日葵的 花盘、芒果渣、甜菜废粕、蚕沙、西瓜皮、甘薯、沙棘等中也含有丰富的果胶。不同植物中的果胶含量见表 1。
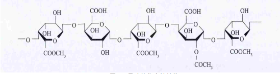
目前,真正具有工业生产价值的果胶来源于柑 桔类(包括葡萄柚、橙、芦柑、胡柚、柠檬、柑桔等)果皮、苹果榨汁废渣、糖用甜菜渣、豆腐柴和蚕沙等,其中最有提取价值的首推柑桔类果皮。甜菜渣果胶在第二次世界大战时已有生产,但由于存在着大量 的中性糖侧链,分子量相对较低,富乙酸酯化,在食品添加剂应用中被认为内在质量较差。3 果胶的分类各种果胶物质之间的重要差别是它们的溶解性能、分子结构、甲酯含量和酯化程度,其代表性结构见图 1。因此果胶按照溶解性能可分为水溶性果胶和水不溶性果胶;按分子量的大小分为低分子果胶和高分子果胶;按提取后是否经过结构改造分为提取果胶和改性果胶。一般商业果胶按照酯化程度,分为低酯果胶和高酯果胶,低酯果胶还包括酰胺化果胶和改性果胶。果胶的酯化度是指甲酯化的半乳糖醛酸基占总半乳糖醛酸基的百分比,即果胶中平均每 100 个半乳糖醛酸基位 C6 上以甲酯化形式存在的个数,叫DE 值或 DM 值。3.1 高甲氧基果胶高 甲 氧 基 果 胶(High Methoxyl Pectins or High Ester Pectins,HMP)即 高 酯 果 胶 ,其 半 乳 糖 单 元 通 常有超过 50%的被酯化,即 DE 值>50%,其 DM 值在 7.0% ~ 16.3%之间。高 酯果 胶 不 与 Ca2 +发生反应,其 凝胶机 制 是 由 于 果 胶 分 子 间 疏 水 键 以 及氢键的相互 作 用 , 形 成 凝 胶 依 赖 于 酸 的 含 量、果 胶的种类、浓度和可溶性固含物的含量。3.2 低甲氧基果胶低 甲 氧 基 果 胶 (Low Methoxyl Pectins or Low Easter Pectins,LMP) 被 酯 化 的 半 乳 糖 单 元 不 超 过 50%,即 DE 值<50%,DM 值<7.0%。低甲氧基果胶可与 Ca2+ 形成凝胶。LMP 凝胶机制则是由于果胶分子上游离梭基较多,能和二价或多价金属阳离子形成交联结构,同时起到中和果胶内影响分子间结合的阴离子的作用。它形成凝胶的强度取决于果胶浓度、种类、可溶性固形物含量、pH 范围、缓冲液浓度和Ca2+ 的含量。低酯果胶对二价金属离子的螯合特性被应用在医药排除重金属方面。3.3 酰胺化果胶当果胶在脱酯过程中以氨取代酸,酯化的基团则会被酰胺基所取代,形成酰胺果胶。酰胺化度(Degree of Amid -action,DA)是指羧基基团处于酰胺形式的百分数。多数商品低酯果胶都是酰胺化,典型的 DA 值在 15%~22%间。酰胺化果胶能在较 高温度下凝胶化,几乎不需要Ca2 +,因此低甲氧基酰胺果胶的凝胶特性类受 Ca2 +浓度影响更小。3.4 改性果胶改 性 果 胶 (Modified Pectin,MP) 是 通 过 调 整 pH,利用酸、碱和酶等技术水解天然果胶而获得的 一种分子量更小、酯化度更低、无分支的果胶多糖,分子量降低至 20 000 以下。与天然果胶相比,MP 单糖组分没有根本的变化,更富含半乳糖醛酸、鼠李糖和木糖;并且具有比天然果胶更多的生理功能,其分子量降低也使改性果胶更容易被机体吸收而进入血液循环。目前市场上出现的果胶均为改性柑桔果胶(Modified Citrus Pectin,MCP)。据研究人员 发现:改性柑桔果胶具有较强的粘附功能,它特异地杀伤已突变细胞,使突变细胞在未形成之前即被清除;同时阻止突变细胞间的聚集及突变细胞粘附到邻近的细胞和组织,因此具有良好的抗肿瘤性能[7]。图 1 果胶的代表性结构
4 国内外研究现状果胶抑制肿瘤的研究主要包括不同来源的果 胶对不同肿瘤的抗肿瘤效果及改性柑桔果胶抗肿瘤机理。4.1 原料来源目前真正有工业生产价值的果胶来源为柑橘果皮和苹果榨汁废渣。因此关于抗肿瘤果胶的来源主要集中于苹果果胶和柑桔果胶的研究,特别是关于低分子柑桔果胶抗肿瘤活性的研究众多,占果胶抗肿瘤相关研究的 97%以上。但也有部分科研工作者对人参果胶、甜菜果胶、西红柿果胶、南瓜果胶、绿茶果胶的抗肿瘤活性等进行了实验性研究[16~18]。范玉莹[10]进行了人参果胶对细胞迁移的影响极的研究,结果发现人参果胶能特异性抑制 L-929 细胞的迁移,与对照组细胞相比,人参果胶对细胞迁移速度的最大抑制可达 60%。其抑制作用不受血清的影响,说明人参果胶是血清依赖和血清非依赖两种迁移途径的抑制剂,并且发现富含聚半乳糖醛酸(HG)结构域的果胶级分对细胞迁移速度具有明显的抑制作用,通过探讨了人参果胶在细胞膜上的受体分子,结果发现人参 RG-Ⅰ型和 HG 型果胶对细胞迁移的影响并不是由 Galectin-3 介导,说明人参果胶和柑橘果胶的抗肿瘤机制不完全相似。徐厚巍[11]对低分子柑橘果胶杀伤结肠癌细胞过程中关键凋亡蛋白的活化进行了研究,发现低分子柑橘果胶不但对直肠癌肝转移灶的形成有抑制作用,而且对于原发灶也有一定的限制作用,对结肠癌细胞株 SW116、 HCT116、HT -29、SW620、SW480 均 有 抑 制 作 用 ,且呈浓度依赖性,其中 HCT116 最敏感。低分子柑橘果胶可以诱导结肠癌细胞凋亡,其分子机制可能是活化内源性凋亡途径中关键蛋白 Caspase-9,进而激活 Caspase-3 裂解 PARP 诱导细胞凋亡。张文博[9]发现改性柑桔果胶对宫颈癌和肝癌有一定的抑制活性,且改性果胶的甲氧基含量对其抗癌活性有一定影响。Tazawa K 等[16]研究了苹果果胶对直肠癌的抑制活性,发现其能通过增强实验小鼠的免疫功能,降低炎症刺激从而有效阻止直肠癌的发生。Guess B W 等[13]发现柑橘改性果胶能够抑制前列腺癌,改善前列腺癌患者的生活质量Tin W W 等[14]报道果胶具有抑制肺癌的效果,能够有效防止肺癌恶化,并且认为半乳糖醛酸对于其抗癌有着重要的影响。4.2 改性柑桔果胶的抗肿瘤机理目前对于抑制肿瘤的种类研究主要集中于结肠癌、乳腺癌、宫颈癌、前列腺癌及肺癌等,而对于抗肿瘤机理的研究主要集中于柑桔果胶研究。多数科研工作者认为改性柑桔果胶的抗肿瘤作用机制 与肿瘤相关蛋白 Galectin-3 有关[17~19]。Galectin-3 是一种多功能蛋白,广泛分布于正常细胞及肿瘤细胞,参与调节细胞生长与分化,与肿瘤的形成、发展 与转移的全过程密切相关,其功能表达涉及肿瘤的侵袭与粘附、肿瘤新生血管的形成、细胞的凋亡调控及免疫识别等方面[20~22]。低分子改性柑桔果胶可以作为体内 Galectin-3 的配体的竞争性抑制剂,封闭肿瘤细胞表面的 Galectin-3 位点,阻止肿瘤细胞的形成与发展[23,24]。关于低分子柑桔果胶抑制肿瘤主要通过以下几个环节。4.2.1 控制肿瘤细胞的失巢凋亡,诱导细胞凋亡研究显示,低分子改性柑桔果胶(LCP)影响人前列腺癌细胞 JAC-1 的细胞周期,下调其 cyclin-B 及 cdc2,使细胞积累于 G2/M 期,诱导产生凋亡。 MCP 可明显抑制 Galectin -3 对失巢凋亡 的抵抗作用[25,26]。Jackson C L 等[27]研究证实 MCP 自身拥有诱导凋亡的能力,并能够有效对抗 Galectin-3 的抗凋亡作用。在 MCP 诱导多发性骨髓瘤凋亡的实验中, 凋亡信号被证明由 Caspase-8 传递至 Caspase-3[28]。4.2.2 抑制肿瘤细胞在转移靶器官的着床肿瘤细胞在失巢后,通过循环抵达远处靶器官,在其脉管系统中停留,在 Galetin-3 的作用下,转移的肿瘤细胞与血管内皮细胞粘附着床。着床后,Galectin-3 与肿瘤相关T 抗原相互作用,先是介 导肿瘤细胞定位于血管内皮细胞,紧接着又促使肿瘤细胞之间同型聚集于着床点[29]。MCP 有强大的抗粘附特性,能有效干扰癌细胞之间的同型聚集及其与血管内皮细胞相粘附。Lehr J E 等[30]在体外实验中对 11 种抗粘附小分子进行了测试,证实 MCP 最能够阻断前列腺癌细胞与骨髓内皮细胞相粘附。体内试验中,MCP 抑制乳腺癌细胞和前列腺癌细胞在肺、骨组织中形成转移瘤的有效率大于 90%。4.2.3 抑制肿瘤细胞的侵袭肿瘤细胞着床于靶器官后,在微血管内增殖,进而穿透血管壁,侵入实质形成转移瘤。在正常细胞与肿瘤细胞之间,存在由基底膜和细胞外基质构成的屏障,其主要是一些结缔组织成分的混合物,包括胶原、粘蛋白及蛋白多糖等。转移的肿瘤细胞必须经过与细胞外基质间的一系列反应,才能够侵袭成功,形成转移瘤。Glinskii O V 等[31]通过体外试验发现,MCP 成功抑制了人乳腺癌及口腔癌细胞穿过由内皮细胞构建的人工基底膜模型,并且这种抑制作用呈剂量依赖性。Sathisha U V 等[32]研究也证 实了 MCP 具有抑制癌细胞侵袭力的能力。4.2.4 抑制肿瘤细胞早期转移的克隆数随着肿瘤细胞停留在远处器官并穿出血管,其中的绝大多数癌细胞面临着凋亡,只有不到 2%的癌细胞存活,形成微转移。早期细胞克隆的存活是形成有效转移的关键。Nangia M P 等[33]研究认为,MCP 能 够 明 显 影 响 体 外 血 管 肉 瘤 细 胞 的 克 隆 形成,并认为这一机制可能与降低 Galectin-3 的抗凋亡能力有关。4.2.5 抑制肿瘤血管生成肿瘤生长与血管形成密切相关,新生血管生成能力是肿瘤侵袭性的标志。MCP 能影响人内皮细胞对Galectin-3 的趋化性,降低血管生成能力,并且这种抑制作用呈剂量依赖性。Nangia M P 等[33]体外实验证明予以浓度 0.1%的MCP 即能完全抑制血管生成。Liu H Y 等[34]在体内实验中证实口服 MCP 能阻断多种肿瘤细胞的生成和转移。4.2.6 细胞毒药物增敏及化疗药物抵抗后的逆转肿瘤细胞对抗肿瘤药物产生耐药是导致肿瘤化疗失败的主要因素,也是困扰肿瘤治疗的关键性难题,多数患者化疗一段时间后产生不同程度的药物 抵 抗 性 。 Chauhan D 等[ 35 ] 通 过 实 验 证 明 抑 制 Galectin-3 抗凋亡功能,MCP 能现状增加血管肉瘤细胞对多柔比星所诱导凋亡的敏感性,增强多发性骨髓瘤细胞对地塞米松诱导凋亡的反应性,逆转多发性骨髓瘤细胞对硼替佐米的耐药性。这种作用在与铂类、孢碱类、硼替佐米、阿霉素类等细胞毒药物共同作用时均有体现。5 展望低分子果胶的抗肿瘤研究取得了一定的进展,但其抗肿瘤机制尚未明确,因此需要从以下 4 个方面进行深入探索:对于抗癌果胶的分子量变化和酯化度对抗肿瘤效果的影响尚未见报道,因此构效关系的研究可以加快抗肿瘤果胶在临床上的应用进程;抗肿瘤果胶的研究主要集中于结肠癌、前列腺癌、肺癌、宫颈癌、乳腺癌、肺癌和骨髓癌等少数癌症,而对于血癌、淋巴癌、胃癌、鼻咽癌等的研究较少,因此,如果拓宽抗肿瘤的范围研究有助于扩大果胶的临床应用范围,造福更多癌症患者;果胶抗肿瘤报道的来源有苹果果胶、人参果胶、柑橘果胶等,而对于蚕沙果胶、向日葵盘果胶、豆腐柴果胶、南瓜果胶等的抗肿瘤效果尚未报道。若能够发现不同来源的果胶抗肿瘤的特异性有所不同或者相同,可以增加抗肿瘤果胶的生产量,减少废弃资源的浪费现象;果胶可以增进化疗药物化疗过程中的敏感性,而关于低分子果胶和常见的抗肿瘤药物是否存在协同、拮抗、相加或者相反的作用报道较少。因此,如果能够探索出果胶和常见化疗药物的相互作用关系,将有利于拓展低分子果胶在抗癌临床上的应用。综上所述,低分子果胶在抗肿瘤药物的开发方面有着巨大的优势,但将其作为临床肿瘤治疗的一线药物,还需对其抗肿瘤机制进行进一步探索,低分子果胶的分子量、酯化度和来源对于其抗肿瘤效果的影响以及和抗肿瘤药物相互作用关系需要进 一步研究。参考文献1 周松.果胶综合论述.安徽师专学报,1995(4)∶76~80.2 张学杰,郭科,苏艳玲.果胶研究新进展.中国食品学报,2010,10(1)∶ 167~174.3 焦云鹏,徐伟,朱秀灵,等.低酯果胶的制备、应用和研究进展.四川工业学院学报,2004(4)∶57~58.4 Ellen G M, Nigel J B, Keith W W, et al. Pectin-an emerging new bioactive food polysaccharide. Trends Food Sci Tech, 2012, 24(2)∶21~37.5 邬晓婧,张爱珍,陈建国,等.低分子柑橘果胶粉对糖尿病小鼠血糖血脂的调节作用.中国全科医学,2006,9(20)∶1685~1686.6 张文博,刘长忠,高林.改性柑橘果胶的制备、表征及抗癌活性.高等学校化学学报,2010(5)∶964~969.7 汪峰,刘海鹰.低分子柑橘果胶在肿瘤治疗中的研究进展.广东医学,2011,32(20)∶2747~2749.8 Takayuki T, Kotaro S, Masshiro Y, et al. Inhibition of metastatic tumor formation in vivo by a bacteriophage display derived galectin-3 tar-geting peptide. Clin Exp Metastas, 2013, 30(2)∶119~132.9 张文博. MCP 多糖的制备、分析及其抗肿瘤活性的研究.天津:天津大学博士学位论文,2006.10 范玉莹.人参果胶对细胞迁移的影响极其机理研究.长春:东北师范大学博士学位论文,2010.11 徐厚巍. 低分子柑橘果胶杀伤结肠癌细胞过程中关键凋亡蛋白的活性.广州:广州医学院硕士学位论文,2010.12 奚苗苗. 果胶-酮洛芬前药的合成、结肠靶向性和药效学研究. 西安:第四军医大学硕士学位论文,2005.13 Guess B W, Scholz M C, Strum S B, et al. Modified citrus pectin (MCP) increases the prostate-specific antigen doubling time in men with prostate cancer: a phase II pilot study. Prostate Cancer Pro-static Dis, 2003, 6(4)∶301~304.14 Tin W W, Gaia C, Fabio S, et al. Pectin matrix as oral drug de-livery vehicle for colon cancer treatment. AAPS Pharm Sci Tech, 2011,12(1)∶201~214.15 李佳.人参果胶-阿霉素复合物的制备和抗肿瘤活性.长春:东北师范大学硕士学位论文,2007.16 Tazawa K, Ohkami H, Yamashita I, et al. Anticarcinogenic and/or antimetastatic action of apple pectin in experimental rat colon car-cinogenesis and on hepatic metastasis rat model. Acs Symposium Series. J An Chem Soc, 1998,701∶96~103.17 Victor J M, Nigel J B, Keith W, et al. The bioactivity of modified pectin fragments. J Lunn and J L Buttriss, 2013, 1(1)∶21~37.18 Niture S K, Refai L. Plant pectin: A poteintial source for cancer suppression. Am J Pharmac and Toxico, 2013,8(1)∶9~19.19 Dongowshi G, Lorenz A. Intestinal steroids in rats are influenced by the structural parameters of pectin. J Nutr Biochem, 2004, 15(4)∶196~205.20 Ide T, Horii M, Yamamoto T, et al. Contrasting effects of water - soluble and water insoluble dietary fibers on bile acid conjugation and taurine metabolism in the rat. Lipids, 1990, 25(6)∶335~340.21 Vladislav V, Glinsky, Raz A. Modified citrus pectin antimetastatic properties: one bullet, multiple targets. Carbohydrate Res, 2009, 344 (14)∶1788~1791.22 Nangia M P, Nakahara S, Hogan V, et al. Galectin-3 in apoptosis, a novel therapeutic target. J Bioenerg Biomembr, 2007, 39(1)∶79~84.23 Story J, Lord S. Bile salts: In vitro studies with fibre components.Progress on Anti-tumor Activity of PectinLi Yinghua1 , Zhu Wei1, 2(1. The Fifth people's Hospital of shanghai, Fudan University, shanghai 200240, China;2. Industrial Technology Research Institute of Zhejiang University, Hangzhou 310029, China)〔World Science and Technology/Modernization of Traditional Chinese Medicine and Materia Medica〕Abstract: In this article, we reviewed studies on anti-tumor activity of pectin in recent years through data retrieval. The tumor treatment effect with pectin and interaction among anti-tumor medications were summarized. The analysis was made on the effect of pectin and Galectin-3 in tumor in order to discuss the anti-tumor mechanism of pectin. Finally, the development trend of anti-tumor study of pectin was pointed out to provide references.Keywords: Pectin, anti-tumor, activity study, review - 上一篇:果胶在癌症治疗中的应用
下一篇:改性果胶的抗肿瘤机制研究进展 - 返回新闻列表

